R)-2-[4-((喹唑啉-4-酮)-2-氧基)苯氧基]丙酸酯衍生物及其应用
|
科技成果名称 |
R)-2-[4-((喹唑啉-4-酮)-2-氧基)苯氧基]丙酸酯衍生物及 其应用 |
|
|
完成单位 |
yl6776永利集团官网 |
|
|
成果简介 (200-500 字) |
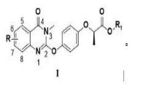
本发明涉及一种 (R)- 2- [4- ((喹唑啉- 4- 酮)- 2- 氧基)苯氧基]丙酸酯衍生物的合成及应用。该类化合物的 结构通式为(I),R 和 R1 如权利要求所定义。以各种取代 的邻氨基苯甲酸和甲基异硫氰酸酯为原料,通过环化、氯 化反应得到各种取代的 2- 氯代喹诺啉- 4- 酮衍生物,然 后通过与(R)- 2- (4- 羟基苯氧基)丙酸酯进行亲核反应得 到 目标化合物 (R)- 2- [4- ((喹唑啉- 4- 酮)- 2- 氧基) 苯氧基]丙酸酯衍生物。本发明还涉及(R)- 2- [4- ((喹唑 啉- 4- 酮)- 2- 氧基)苯氧基]丙酸酯衍生物在除草方面的 应用。测试结果显示这类化合物对于稗草和马唐具有良好 的除草活性,是一类结构新颖、应用前景广阔的选择性除草 |
|
|
|
|
|
|
知识产权情况 |
-2-[4-((喹唑啉-4-酮)-2-氧基)苯氧基]丙酸酯衍生物及其 应用。 2024.01.30 授权号:CN 115322159 B |
|
|
成果成熟度 |
□实验室阶段 □小试阶段 □中试阶段 □市场化阶段 |
|
|
成果转化方式 |
四技术转让 □技术开发 四技术入股 □股权投资 四许可使用 □合作开发 □其他 |
|
yl6776永利集团官网要闻
-
【深学笃行全会精神 锚定高质量发展】yl6776永利集团官网教师热议学习贯彻党的二十届四中全会精神2025-10-31
-
【深学笃行全会精神 锚定高质量发展】yl6776永利集团官网学生热议学习贯彻党的二十届四中全会精神2025-11-04
-
我校教师获全国翻译专业学位研究生教育指导委员会2项教学案例大奖2025-11-03
-
我校在山东省第十五届全民健身运动会气排球比赛中获佳绩2025-11-03
-
yl6776永利集团官网在2025年全国“田家炳杯”教学技能大赛中再获佳绩2025-11-03
-
yl6776永利集团官网获评山东省大学生志愿服务西部计划优秀高校项目办2025-11-03
-
我校教师代表受邀出席中华人民共和国与斐济共和国建交50周年招待会2025-11-02
-
我校召开国家马驴遗传评估中心筹建汇报暨评估系统现场测试会2025-11-01
-
yl6776永利集团官网启动《黄河学导论》教材编写工作2025-11-01
-
“廉心焕彩 清风yl6776永利集团官网”廉洁文化作品展开展2025-10-31



时间 :2025-11-01
阅读次数 :
字体 :
